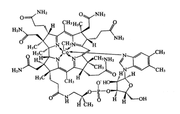
Mecobalamin Tablets
请仔细阅读说明书并在医生的指导下使用
核准日期:2014年4月30日|修改日期:2024年2月29日
口服。通常成人一次 ...登录
1. 如果服用一个月...登录
网页版仅展示部分,【药物相互作用、不良反应等】使用微信扫一扫,在用药助手 App 看