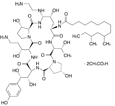
Caspofungin Acetate for Injection
请仔细阅读说明书并在医生的指导下使用
核准日期:2007年1月16日|修改日期:2025年6月30日
本品适用于成人患者和...登录
1. 所有患者的用药...登录
1. 过敏本品使用过...登录
网页版仅展示部分,【药物相互作用、不良反应等】使用微信扫一扫,在用药助手 App 看