

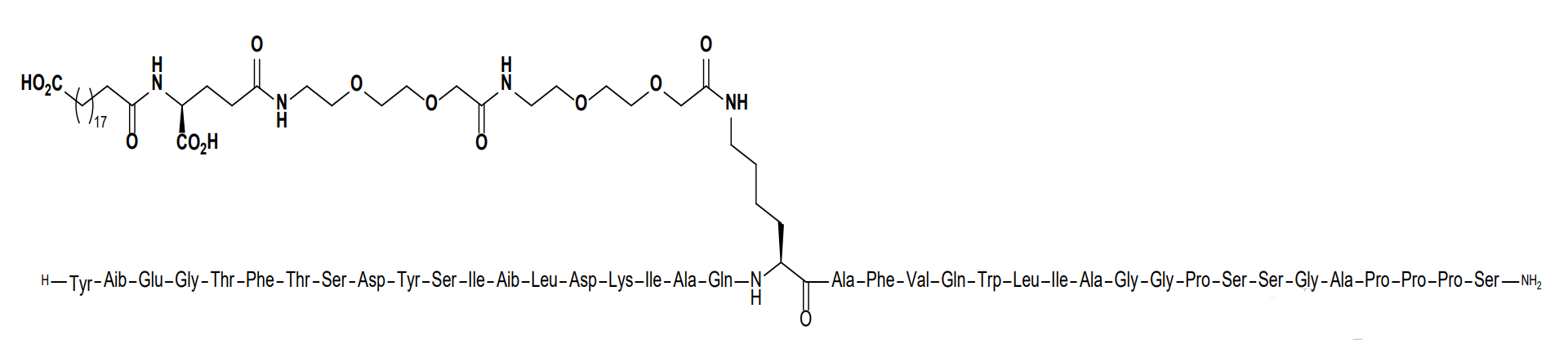
Tirzepatide Injection
请仔细阅读说明书并在医生的指导下使用
核准日期:2024年5月15日|修改日期:2025年9月18日
2 型糖尿病本品适用...登录
本品的推荐起始剂量为...登录
不良反应 | 安慰剂 (N = 235) % | 替尔泊肽 5 mg (N = 237) % | 替尔泊肽 10 mg (N = 240) % | 替尔泊肽 15 mg (N = 241) % |
|---|---|---|---|---|
| 恶心 | 4 | 12 | 15 | 18 |
| 腹泻 | 9 | 12 | 13 | 17 |
| 食欲下降 | 1 | 5 | 10 | 11 |
| 呕吐 | 2 | 5 | 5 | 9 |
| 便秘 | 1 | 6 | 6 | 7 |
| 消化不良 | 3 | 8 | 8 | 5 |
| 腹痛 | 4 | 6 | 5 | 5 |
不良反应 | 安慰剂 (N = 958) % | 5 mg 替尔泊肽 (N = 630) % | 10 mg 替尔泊肽 (N = 948) % | 15 mg 替尔泊肽 (N = 941) % |
|---|---|---|---|---|
| 恶心 | 8 | 25 | 29 | 28 |
| 腹泻a | 8 | 19 | 21 | 23 |
| 呕吐 | 2 | 8 | 11 | 13 |
| 便秘b | 5 | 17 | 14 | 11 |
| 腹痛c | 5 | 9 | 9 | 10 |
| 消化不良 | 4 | 9 | 9 | 10 |
| 注射部位各种反应d | 2 | 6 | 8 | 8 |
| 疲劳e | 3 | 5 | 6 | 7 |
| 超敏反应 | 3 | 5 | 5 | 5 |
| 嗳气 | 1 | 4 | 5 | 5 |
| 毛发脱落 | 1 | 5 | 4 | 5 |
| 胃食管反流病 | 2 | 4 | 4 | 5 |
| 肠胃气胀 | 2 | 3 | 3 | 4 |
| 腹胀 | 2 | 3 | 3 | 4 |
| 头晕 | 2 | 4 | 5 | 4 |
| 低血压f | 0 | 1 | 1 | 2 |
安慰剂 % | 替尔泊肽 5 mg % | 替尔泊肽 10 mg % | 替尔泊肽 15 mg % | |
|---|---|---|---|---|
| 单药治疗 | ||||
| 40 周* | N = 115 | N = 121 | N = 119 | N = 120 |
| 血糖<3.0 mmol/L | 1 | 0 | 0 | 0 |
| 重度低血糖** | 0 | 0 | 0 | 0 |
| 联合基础胰岛素(伴或不伴二甲双胍) | ||||
| 40 周* | N = 120 | N = 116 | N = 119 | N = 120 |
| 血糖<3.0 mmol/L | 13 | 16 | 19 | 14 |
| 重度低血糖** | 0 | 0 | 2 | 1 |
甲状腺 C 细胞肿瘤...登录
| 替尔泊肽 | tmaxa(h) | t1/2b(h) | Cmax(ng/mL) | AUC(0-168 h)(ng•h/mL) | CL/F(L/h) | Vss/F(L) |
|---|---|---|---|---|---|---|
| 5 mg 队列 1 (N = 9) | 24.00 (8.00-24.03) | 139 (113-226) | 1030 (13) | 125000 (16) | 0.0399 (16) | 8.30 (19) |
| 5 mg 队列 2 (N = 10) | 24.00 (8.00-48.02) | 124c (90.8-170) | 915 (18) | 110000 (16) | 0.0454 (16) | 8.34c (25) |
| 10 mg 队列 1 (N = 9) | 24.00 (8.00-48.00) | 132 (113-153) | 2200 (16) | 263000 (17) | 0.0381 (17) | 7.43 (13) |
| 15 mg 队列 2 (N = 10) | 23.95 (23.93-24.08) | 126 (114-156) | 2930 (20) | 357000 (16) | 0.0420 (16) | 8.06 (19) |
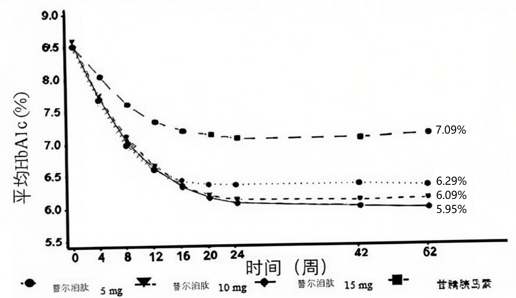
替尔泊肽 5 mg | 替尔泊肽 10 mg | 替尔泊肽 15 mg | 司美格鲁肽 1 mg | ||
|---|---|---|---|---|---|
| mITT 人群(n) | 470 | 469 | 469 | 468 | |
| HbA1c(%) | 基线(平均值) | 8.33 | 8.31 | 8.25 | 8.24 |
自基线的变化 | -2.09## | -2.37## | -2.46## | -1.86## | |
与司美格鲁肽相比的差异[95% CI] | -0.23**[-0.36,-0.10] | -0.51**[-0.64,-0.38] | -0.60**[-0.73,-0.47] | - | |
| 达到目标 HbA1c 的患者(%) | <7% | 85.5* | 88.9** | 92.2** | 81.1 |
≤ 6.5% | 74.0† | 82.1†† | 87.1†† | 66.2 | |
<5.7% | 29.3†† | 44.7** | 50.9** | 19.7 | |
| FSG(mmol/L) | 基线(平均值) | 9.67 | 9.69 | 9.56 | 9.49 |
自基线的变化 | -3.11## | -3.42## | -3.52## | -2.70## | |
与司美格鲁肽相比的差异[95% CI] | -0.41† [-0.65,-0.16] | -0.72†† [-0.97,-0.48] | -0.82†† [-1.06,-0.57] | - | |
| 体重(kg) | 基线(平均值) | 92.6 | 94.9 | 93.9 | 93.8 |
自基线的变化 | -7.8## | -10.3## | -12.4## | -6.2## | |
与司美格鲁肽相比的差异[95% CI] | -1.7** [-2.6,-0.7] | -4.1** [-5.0,-3.2] | -6.2** [-7.1,-5.3] | - | |
| 达到目标体重降幅的患者(%) | ≥ 5% | 68.6† | 82.4†† | 86.2†† | 58.4 |
≥ 10% | 35.8†† | 52.9†† | 64.9†† | 25.3 | |
≥ 15% | 15.2† | 27.7†† | 39.9†† | 8.7 | |
替尔泊肽 5 mg | 替尔泊肽 10 mg | 替尔泊肽 15 mg | 滴定的甘精胰岛素a | ||
|---|---|---|---|---|---|
| mITT 人群(n) | 230 | 228 | 229 | 220 | |
| HbA1c(%) | 基线(平均值) | 8.77 | 8.70 | 8.67 | 8.68 |
自基线的变化 | -2.24## | -2.44## | -2.49## | -0.95## | |
与甘精胰岛素相比的差异[95% CI] | -1.29** [-1.49,-1.09] | -1.49** [-1.69,-1.29] | -1.54** [-1.74,-1.34] | - | |
| 达到目标 HbA1c 的患者(%) | <7% | 75.4** | 86.0** | 84.4** | 23.7 |
≤ 6.5% | 61.8†† | 73.0†† | 75.0†† | 8.4 | |
<5.7% | 14.9†† | 20.7†† | 27.7†† | 0 | |
| FSG(mmol/L) | 基线(平均值) | 10.05 | 9.73 | 9.82 | 9.72 |
自基线的变化 | -3.25## | -3.68## | -3.60## | -2.57## | |
与甘精胰岛素相比的差异[95% CI] | -0.68†† [-1.02,-0.35] | -1.11†† [-1.45,-0.77] | -1.03†† [-1.37,-0.69] | - | |
| 体重(kg) | 基线(平均值) | 77.8 | 76.5 | 76.3 | 75.5 |
自基线的变化 | -5.0## | -7.0## | -7.2## | + 1.5## | |
与甘精胰岛素相比的差异[95% CI] | -6.5** [-7.4,-5.6] | -8.5** [-9.5,-7.6] | -8.7** [-9.6,-7.7] | - | |
| 达到目标体重降幅的患者(%) | ≥ 5% | 55.7†† | 71.6†† | 74.1†† | 5.6 |
≥ 10% | 26.8†† | 41.9†† | 45.1†† | 0.5 | |
≥ 15% | 10.1† | 17.1†† | 17.9†† | 0.0 | |
替尔泊肽 5 mg | 替尔泊肽 10 mg | 替尔泊肽 15 mg | 滴定德谷胰岛素 | ||
|---|---|---|---|---|---|
| mITT 人群(n) | 358 | 360 | 358 | 359 | |
| HbA1c(%) | 基线(平均值) | 8.17 | 8.19 | 8.21 | 8.13 |
自基线的变化 | -1.93## | -2.20## | -2.37## | -1.34## | |
与德谷胰岛素相比的差异[95% CI] | -0.59**[-0.73,-0.45] | -0.86**[-1.00,-0.72] | -1.04**[-1.00,-0.72] | - | |
| HbA1c(mmol/mol) | 基线(平均值) | 65.8 | 66.0 | 66.3 | 65.4 |
自基线的变化 | -21.1## | -24.0## | -26.0## | -14.6## | |
与德谷胰岛素相比的差异[95% CI] | -6.4**[-7.9,-4.9] | -9.4**[-10.9,-7.9] | -11.3**[-12.8,-9.8] | - | |
| 达到目标 HbA1c的患者(%) | <7% | 82.4** | 89.7** | 92.6** | 61.3 |
≤ 6.5% | 71.4†† | 80.3†† | 85.3†† | 44.4 | |
<5.7% | 25.8†† | 38.6†† | 48.4†† | 5.4 | |
| FSG(mmol/L) | 基线(平均值) | 9.54 | 9.48 | 9.35 | 9.24 |
自基线的变化 | -2.68## | -3.04## | -3.29## | -3.09## | |
与德谷胰岛素相比的差异[95% CI] | 0.41†[0.14,0.69] | 0.05[-0.24,0.33] | -0.20[-0.48,0.08] | - | |
| FSG(mg/dL) | 基线(平均值) | 171.8 | 170.7 | 168.4 | 166.4 |
自基线的变化 | -48.2## | -54.8## | -59.2## | -55.7## | |
与德谷胰岛素相比的差异[95% CI] | 7.5†[2.4,12.5] | 0.8[-4.3,5.9] | -3.6[-8.7,1.5] | - | |
| 体重(kg) | 基线(平均值) | 94.5 | 94.3 | 94.9 | 94.2 |
自基线的变化 | -7.5## | -10.7## | -12.9## | + 2.3## | |
与德谷胰岛素相比的差异[95% CI] | -9.8**[-10.8,-8.8] | -13.0**[-14.0,-11.9] | -15.2**[-16.2,-14.2] | - | |
| 达到目标体重降幅的患者(%) | ≥ 5% | 66.0†† | 83.7†† | 87.8†† | 6.3 |
≥ 10% | 37.4†† | 55.7†† | 69.4†† | 2.9 | |
≥ 15% | 12.5†† | 28.3†† | 42.5†† | 0.0 | |
替尔泊肽 5 mg | 替尔泊肽 10 mg | 替尔泊肽 15 mg | 滴定甘精胰岛素 | ||
|---|---|---|---|---|---|
| mITT 人群(n) | 328 | 326 | 337 | 998 | |
| 52 周 | |||||
| HbA1c(%) | 基线(平均值) | 8.52 | 8.60 | 8.52 | 8.51 |
自基线的变化 | -2.24## | -2.43## | -2.58## | -1.44## | |
与甘精胰岛素相比的差异[95% CI] | -0.80**[-0.92,-0.68] | -0.99**[-1.11,-0.87] | -1.14**[-1.26,-1.02] | - | |
| HbA1c(mmol/mol) | 基线(平均值) | 69.6 | 70.5 | 69.6 | 69.5 |
自基线的变化 | -24.5## | -26.6## | -28.2## | -15.7## | |
与甘精胰岛素相比的差异[95% CI] | -8.8**[-10.1,-7.4] | -10.9**[-12.3,-9.6] | -12.5**[-13.8,-11.2] | - | |
| 达到目标 HbA1c的患者(%) | <7% | 81.0** | 88.2** | 90.7** | 50.7 |
≤ 6.5% | 66.0†† | 76.0†† | 81.1†† | 31.7 | |
<5.7% | 23.0†† | 32.7†† | 43.1†† | 3.4 | |
| FSG(mmol/L) | 基线(平均值) | 9.57 | 9.75 | 9.67 | 9.37 |
自基线的变化 | -2.80## | -3.06## | -3.29## | -2.84## | |
与甘精胰岛素相比的差异[95% CI] | 0.04[-0.22,0.30] | -0.21[-0.48,0.05] | -0.44††[-0.71,-0.18] | - | |
| FSG(mg/dL) | 基线(平均值) | 172.3 | 175.7 | 174.2 | 168.7 |
自基线的变化 | -50.4## | -54.9## | -59.3## | -51.4## | |
与甘精胰岛素相比的差异[95% CI] | 1.0[-3.7,5.7] | -3.6[-8.2,1.1] | -8.0††[-12.6,-3.4] | - | |
| 体重(kg) | 基线(平均值) | 90.3 | 90.7 | 90.0 | 90.3 |
自基线的变化 | -7.1## | -9.5## | -11.7## | + 1.9## | |
与甘精胰岛素相比的差异[95% CI] | -9.0**[-9.8,-8.3] | -11.4**[-12.1,-10.6] | -13.5**[-14.3,-12.8] | - | |
| 达到目标体重降幅的患者(%) | ≥ 5% | 62.9†† | 77.6†† | 85.3†† | 8.0 |
≥ 10% | 35.9†† | 53.0†† | 65.6†† | 1.5 | |
≥ 15% | 13.8†† | 24.0†† | 36.5†† | 0.5 | |
替尔泊肽 5 mg | 替尔泊肽 10 mg | 替尔泊肽 15 mg | 安慰剂 | ||
|---|---|---|---|---|---|
| mITT 人群(n) | 116 | 118 | 118 | 119 | |
| HbA1c(%) | 基线(平均值) | 8.29 | 8.34 | 8.22 | 8.39 |
自基线的变化 | -2.23## | -2.59## | -2.59## | -0.93## | |
与安慰剂相比的差异[95% CI] | -1.30**[-1.52, -1.07] | -1.66**[-1.88, -1.43] | -1.65**[-1.88, -1.43] | - | |
| HbA1c(mmol/mol) | 基线(平均值) | 67.1 | 67.7 | 66.4 | 68.2 |
自基线的变化 | -24.4## | -28.3## | -28.3## | -10.2## | |
与安慰剂相比的差异[95% CI] | -14.2**[-16.6, -11.7] | -18.1**[-20.6, -15.7] | -18.1**[-20.5, -15.6] | - | |
| 达到目标 HbA1c的患者(%) | <7% | 93.0** | 97.4** | 94.0** | 33.9 |
≤ 6.5% | 80.0†† | 94.7†† | 92.3†† | 17.0 | |
<5.7% | 26.1†† | 47.8†† | 62.4†† | 2.5 | |
| FSG(mmol/L) | 基线(平均值) | 9.00 | 9.04 | 8.91 | 9.13 |
自基线的变化 | -3.41## | -3.77## | -3.76## | -2.16## | |
与安慰剂相比的差异[95% CI] | -1.25**[-1.64, -0.86] | -1.61**[-2.00, -1.22] | -1.60**[-1.99, -1.20] | - | |
| FSG(mg/dL) | 基线(平均值) | 162.2 | 162.9 | 160.4 | 164.4 |
自基线的变化 | -61.4## | -67.9## | -67.7## | -38.9## | |
与安慰剂相比的差异[95% CI] | -22.5**[-29.5, -15.4] | -29.0**[-36.0, -22.0] | -28.8**[-35.9, -21.6] | - | |
| 体重(kg) | 基线(平均值) | 95.5 | 95.4 | 96.2 | 94.1 |
自基线的变化 | -6.2## | -8.2## | -10.9## | + 1.7## | |
与安慰剂相比的差异[95% CI] | -7.8**[-9.4, -6.3] | -9.9**[-11.5, -8.3] | -12.6**[-14.2, -11.0] | - | |
| 达到目标体重降幅的患者(%) | ≥ 5% | 53.9†† | 64.6†† | 84.6†† | 5.9 |
≥ 10% | 22.6†† | 46.9†† | 51.3†† | 0.9 | |
≥ 15% | 7.0† | 26.6† | 31.6†† | 0.0 | |
替尔泊肽 5 mg | 替尔泊肽 10 mg | 替尔泊肽 15 mg | 安慰剂 | ||
|---|---|---|---|---|---|
| mITT 人群(n) | 65 | 65 | 63 | 64 | |
| HbA1c(%) | 基线(平均值) | 8.66 | 8.64 | 8.76 | 8.83 |
自基线的变化 | -2.11 | -2.39 | -2.37 | -0.91 | |
与安慰剂相比的差异[95% CI] | -1.20**[-1.54, -0.85] | -1.48**[-1.82, -1.13] | -1.45**[-1.80, -1.11] | - | |
| 达到目标 HbA1c的患者(%) | <7% | 75.0%** | 79.4%** | 79.0%** | 15.9% |
≤ 6.5% | 59.4%** | 77.8%** | 67.7%** | 6.4% | |
<5.7% | 9.4% | 20.6%* | 24.2%* | 0.0% | |
| FSG(mmol/L) | 基线(平均值) | 8.7 | 8.8 | 8.5 | 8.2 |
自基线的变化 | -2.5 | -2.9 | -2.8 | -1.3 | |
与安慰剂相比的差异[95% CI] | -1.2**[-1.8, -0.6] | -1.6**[-2.2, -1.0] | -1.5**[-2.1, -0.9] | - | |
| 体重(kg) | 基线(平均值) | 73.9 | 76.0 | 73.6 | 72.4 |
自基线的变化 | -2.7 | -4.8 | -4.3 | 1.7 | |
与安慰剂相比的差异[95% CI] | -4.4**[-5.8, -2.9] | -6.5**[-8.0, -5.0] | -6.0**[-7.5, -4.5] | - | |
| 达到目标体重降幅的患者(%) | ≥ 5% | 26.6% | 52.4% | 61.3% | 1.6% |
≥ 10% | 7.8% | 20.6% | 22.6% | 0.0% | |
≥ 15% | 4.7% | 6.4% | 8.1% | 0.0% | |
| 替尔泊肽 5 mg | 替尔泊肽 10 mg | 替尔泊肽 15 mg | 安慰剂 | |
|---|---|---|---|---|
| mITT 人群(n) | 630 | 636 | 630 | 643 |
| 体重 | ||||
| 基线(kg) | 102.9 | 105.9 | 105.5 | 104.8 |
| 相对于基线的变化(%) | -16.0†† | -21.4†† | -22.5†† | -2.4 |
| 与安慰剂相比的差异(%) [95% CI] | -13.5** [-14.6,-12.5] | -18.9** [-20.0,-17.8] | -20.1** [-21.2,-19.0] | - |
| 相对于基线的变化(kg) | -16.1†† | -22.2†† | -23.6†† | -2.4†† |
| 与安慰剂相比的差异(kg) [95% CI] | -13.8## [-15.0,-12.6] | -19.8## [-21.0,-18.6] | -21.2## [-22.4,-20.0] | - |
| 达到体重降低的患者(%) | ||||
| ≥ 5% | 89.4** | 96.2** | 96.3** | 27.9 |
| ≥ 10% | 73.4## | 85.9** | 90.1** | 13.5 |
| ≥ 15% | 50.2## | 73.6** | 78.2** | 6.0 |
| ≥ 20% | 31.6## | 55.5** | 62.9** | 1.3 |
| 腰围(cm) | ||||
| 基线 | 113.2 | 114.9 | 114.4 | 114.0 |
| 相对于基线的变化 | -14.6†† | -19.4†† | -19.9†† | -3.4†† |
| 与安慰剂相比的差异 [95% CI] | -11.2## [-12.3,-10.0] | -16.0** [-17.2,-14.9] | -16.5** [-17.7,-15.4] | - |
| 替尔泊肽 10 mg | 替尔泊肽 15 mg | 安慰剂 | |
|---|---|---|---|
| mITT 人群(n) | 312 | 311 | 315 |
| 体重 | |||
| 基线(kg) | 101.1 | 99.5 | 101.7 |
| 相对于基线的变化(%) | -13.4†† | -15.7†† | -3.3†† |
| 与安慰剂相比的差异(%) [95% CI] | -10.1** [-11.5,-8.8] | -12.4** [-13.7,-11.0] | - |
| 相对于基线的变化(kg) | -13.5†† | -15.6†† | -3.2†† |
| 与安慰剂相比的差异(kg) [95% CI] | -10.3## [-11.7,-8.8] | -12.4## [-13.8,-11.0] | - |
| 达到体重降低的患者(%) | |||
| ≥ 5% | 81.6** | 86.4** | 30.6 |
| ≥ 10% | 63.4** | 69.6** | 8.7 |
| ≥ 15% | 41.4** | 51.8** | 2.6 |
| ≥ 20% | 23.0** | 34.0** | 1.0 |
| 腰围(cm) | |||
| 基线 | 114.3 | 114.6 | 116.1 |
| 相对于基线的变化 | -11.2†† | -13.8†† | -3.4†† |
| 与安慰剂相比的差异 [95% CI] | -7.8** [-9.2,-6.4] | -10.4** [-11.8,-8.9] | - |
替尔泊肽 10 mg | 替尔泊肽 15 mg | 安慰剂 | |
|---|---|---|---|
| mITT 人群(n) | 70 | 71 | 69 |
| 体重 | |||
| 基线(kg) | 92.2 | 91.3 | 91.9 |
| 相对于基线的变化(%) | -14.4†† | -19.9†† | -2.4† |
| 与安慰剂相比的差异(%) [95% CI] | -12.0** [-14.8,-9.3] | -17.5** [-20.3,-14.8] | - |
| 相对于基线的变化(kg) | -13.1†† | -18.1†† | -2.1† |
| 与安慰剂相比的差异(kg) [95% CI] | -10.9## [-13.5,-8.3] | -16.0## [-18.6,-13.4] | - |
| 达到体重降低的患者(%) | |||
| ≥ 5% | 91.4†† | 92.7†† | 29.4 |
| ≥ 10% | 70.0†† | 83.8†† | 14.7 |
| ≥ 15% | 48.6†† | 72.1†† | 2.9 |
| 腰围(cm) | |||
| 基线 | 105.0 | 104.3 | 105.2 |
| 相对于基线的变化 | -11.9†† | -16.4†† | -2.7† |
| 与安慰剂相比的差异 [95% CI] | -9.2** [-11.5,-6.9] | -13.7** [-16.0,-11.3] | - |
| OSA 研究 1(N = 234) | OSA 研究 2(N = 235) | |
|---|---|---|
基线 AHI(事件/小时),均值(SD) | 51.5(31) | 49.5(20.7) |
中度 OSA,%a | 35.2 | 30.9 |
重度 OSA,%b | 63.1 | 68.2 |
ESS 合计,均值(SD) | 10.5(3.2) | 10(4.6) |
总缺氧负荷(% 分钟/小时),均值(SD) | 208.4(189.1) | 193(174.6) |
BMI(kg/m2),平均值(SD) | 39.1(7) | 38.7(9) |
糖尿病前期,% | 65 | 56.6 |
高血压,% | 75.6 | 77.4 |
心脏器官疾病,% | 10.3 | 11.1 |
高脂血症,% | 80.8 | 83.8 |
OSA 研究 1 | OSA 研究 2 | |||
|---|---|---|---|---|
改良意向治疗(mITT)人群 a | 安慰剂 N = 120 | 替尔泊肽 MTD (10 mg 或 15 mg) N = 114 | 安慰剂 N = 114 | 替尔泊肽 MTD (10 mg 或 15 mg) N = 119 |
AHI(次/时) | ||||
| 基线平均值 | 50.1 | 52.9 | 53.1 | 46.1 |
| 相对于基线的变化b | -5.3 | -25.3 | -5.5 | -29.3 |
| 与安慰剂相比的差异b(95% CI) | -20.0 (-25.8,-14.2)e | -23.8 (-29.6,-17.9)e | ||
AHI 的变化百分比 | ||||
| 相对于基线的变化百分比b | -3.0 | -50.7 | -2.5 | -58.7 |
| 与安慰剂相比的百分比差异b(95% CI) | -47.7 (-65.8,-29.6)e | -56.2 (-73.7,-38.7)e | ||
AHI 下降>50% 的患者百分比d | 19.0 | 61.2 | 23.3 | 72.4 |
| 与安慰剂相比的 % 差异b(95% CI) | 42.8 (30.8,54.8)e | 48.6 (36.6,60.7)e | ||
缓解或轻度无症状性 OSA | ||||
| AHI<5 或 AHI 5-14 且 ESS ≤ 10 的患者百分比(%)d | 15.9 | 42.2 | 14.3 | 50.2 |
| 与安慰剂相比的百分比差异(95% CI) | 28.7 (18.3,39.2)e | 33.2 (22.1,44.3)e | ||
睡眠呼吸暂停特异性缺氧负荷(%min/h) | ||||
| 基线平均值f | 137.8 | 153.6 | 142.1 | 132.2 |
| 相对于基线的变化百分比b | -25.1 | -95.2 | -41.7 | -103 |
| 与安慰剂相比的相对差异b(95% CI) | -70.1 (-90.9,-49.3)c,e | -61.3 (-84.7,-37.9)c,e | ||
体重(kg) | ||||
| 基线平均值 | 112.8 | 116.7 | 115.1 | 115.8 |
| 相对于基线的变化百分比b | -1.6 | -17.7 | -2.3 | -19.6 |
| 与安慰剂相比的 % 差异b(95% CI) | -16.1 (-18.0,-14.2)e | -17.3 (-19.3,-15.3)e | ||
网页版仅展示部分,【药物相互作用、不良反应等】使用微信扫一扫,在用药助手 App 看