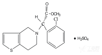
Clopidogrel Bisulfate Tablets
请仔细阅读说明书并在医生的指导下使用
核准日期:2019年5月29日|修改日期:2023年9月1日
氯吡格雷用于以下患者...登录
● 成人和老年人:氯...登录
出血及血液学异常由于...登录
网页版仅展示部分,【药物相互作用、不良反应等】使用微信扫一扫,在用药助手 App 看