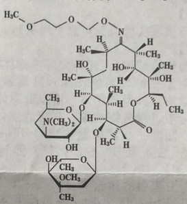
Roxithromycin Capsules
请仔细阅读说明书并在医生的指导下使用
核准日期:2006年12月4日|修改日期:2021年5月12日
适用于敏感菌株引起的...登录
口服,成人每次 0....登录
肝、肾功能不全者以及...登录
网页版仅展示部分,【药物相互作用、不良反应、儿童用药等】使用微信扫一扫,在用药助手 App 看