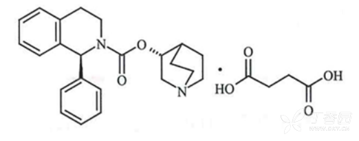
Solifenacin Succinate Tablets
请仔细阅读说明书并在医生的指导下使用
核准日期:2020年7月21日
用于膀胱过度活动症患...登录
本品的推荐剂量为每日...登录
使用本品治疗前应确认...登录
网页版仅展示部分,【药物相互作用、不良反应、儿童用药等】使用微信扫一扫,在用药助手 App 看