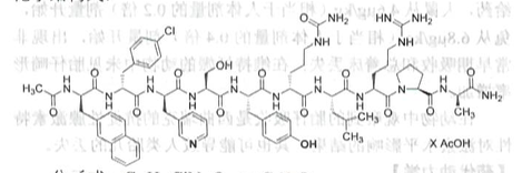
Cetrorelix Acetate Powder for Injection
请仔细阅读说明书并在医生的指导下使用
核准日期:2024年4月11日
辅助生育技术中,对控...登录
本品处方应由该治疗领...登录
过敏情况已经报告了首...登录
网页版仅展示部分,【药物相互作用、不良反应、儿童用药等】使用微信扫一扫,在用药助手 App 看