

Mavacamten Capsules
请仔细阅读说明书并在医生的指导下使用
核准日期:2024年4月24日|修改日期:2025年10月10日
本品用于治疗纽约心脏...登录
推荐剂量本品的推荐起...登录
心力衰竭本品可降低心...登录
玛伐凯泰 N = 123 | 安慰剂 N = 128 | 治疗差异(95% CI) | p 值 | |
|---|---|---|---|---|
| 第 30 周时达到主要终点的患者,n(%) | 45(37%) | 22(17%) | 19 (8.67,30.13) | 0.0005 |
| 第 30 周时 pVO2较基线变化 ≥ 1.5 mL/kg/min 且 NYHA 心功能分级改善 ≥ 1 个级别的患者,n(%) | 41(33%) | 18(14%) | 19 (8.99-29.55) | |
| 第 30 周时 pVO2较基线变化 ≥ 3.0 mL/kg/min 且 NYHA 心功能分级未恶化的患者,n(%) | 29(24%) | 14(11%) | 13 (3.39-21.89) |
| 玛伐凯泰 | 安慰剂 | |
|---|---|---|
| 第 30 周时运动后 LVOT 峰值压差较基线的变化,mmHg | N = 123 | N = 128 |
| 平均值(SD) | -47(40) | -10(30) |
| 治疗差异(95% CI) | -35(-43,-28) | |
| p 值 | <0.0001 | |
| 第 30 周时 pVO2值较基线的变化,mL/kg/min | N = 123 | N = 128 |
| 平均值(SD) | 1.4(3) | -0.05(3) |
| 治疗差异(95% CI) | 1.4(0.6,2) | |
| p 值 | <0.0006 | |
| 第 30 周时 NYHA 心功能分级改善 ≥ 1 个级别的患者 | N = 123 | N = 128 |
| N,(%) | 80(65%) | 40(31%) |
| 治疗差异(95% CI) | 34(22,45) | |
| p 值 | <0.0001 | |
| 基线,平均值(SD) | 第 30 周较基线的变化,平均值(SD) | 差异,LS 均值(95% CI)和 p 值 | |||
|---|---|---|---|---|---|
| 玛伐凯泰 | 安慰剂 | 玛伐凯泰 | 安慰剂 | ||
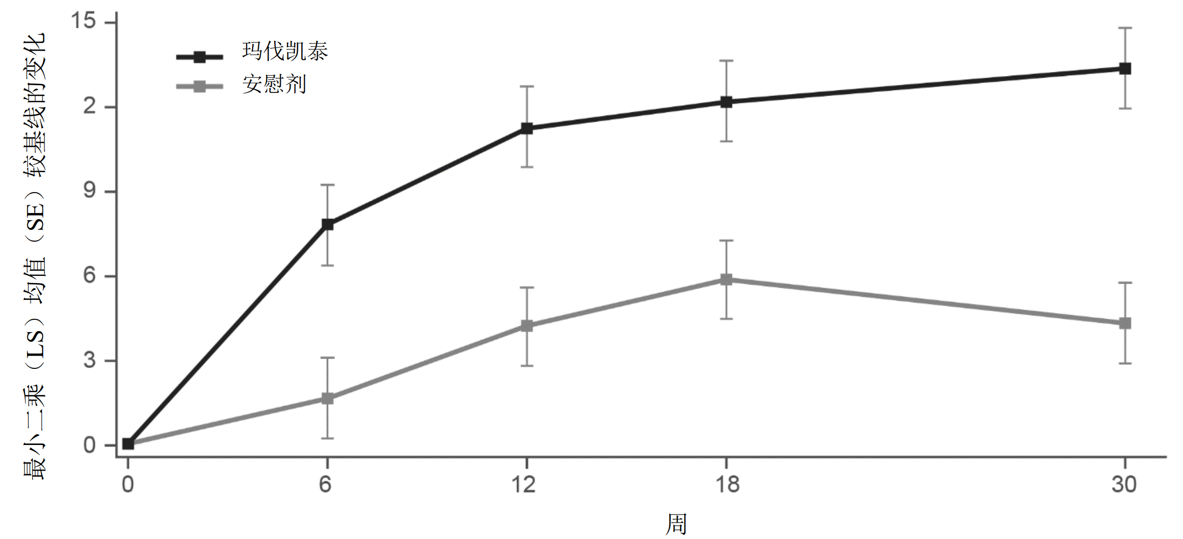
| KCCQ-23 CSS† | n = 99 71(16) | n = 97 71(19) | 14(14) | 4(14) | 9(5,13) p<0.0001 |
| KCCQ-23 TSS | 71(17) | 69(22) | 12(15) | 5(16) | |
| KCCQ-23 PL | 70(18) | 72(19) | 15(17) | 4(15) | |
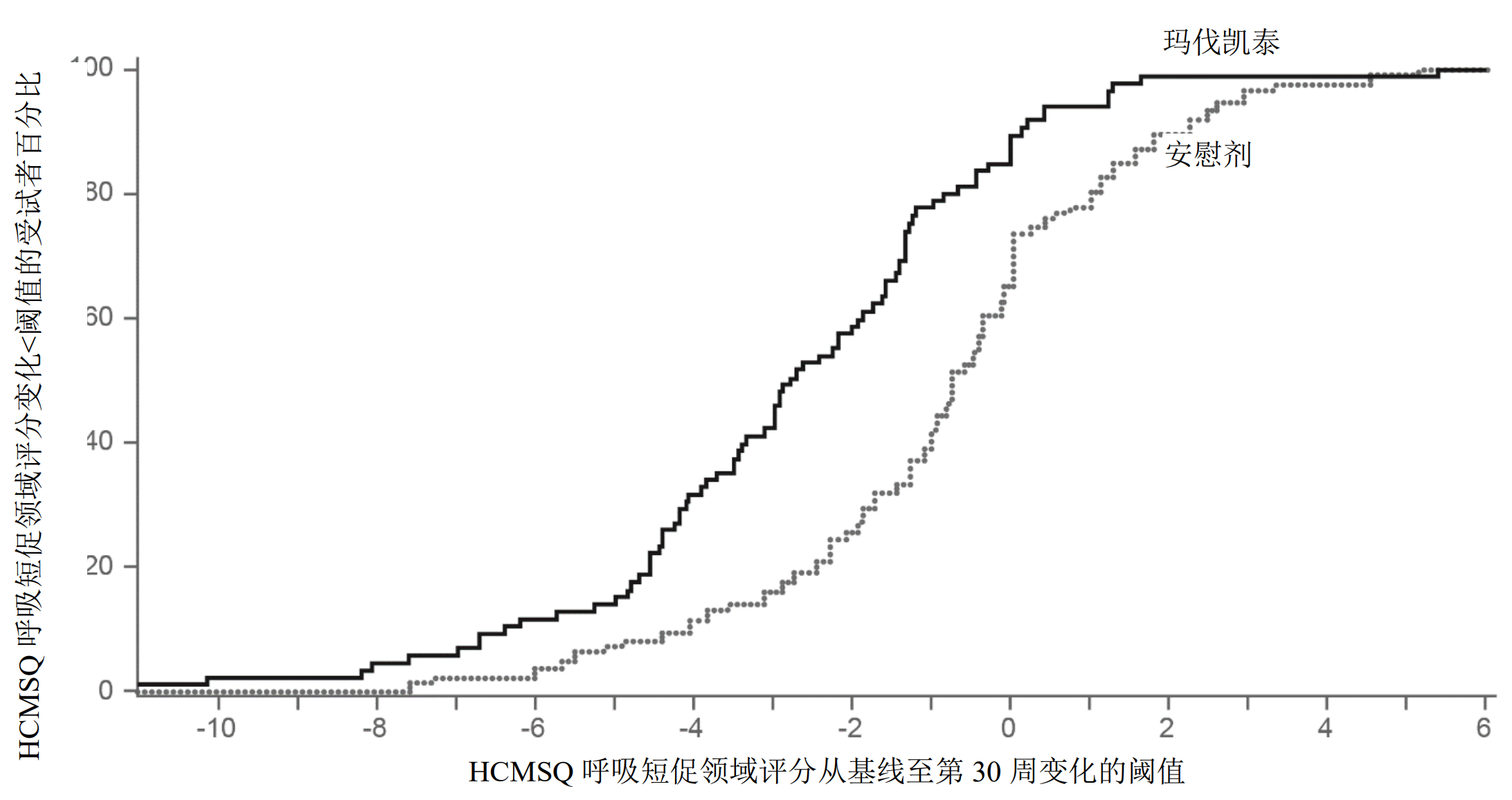
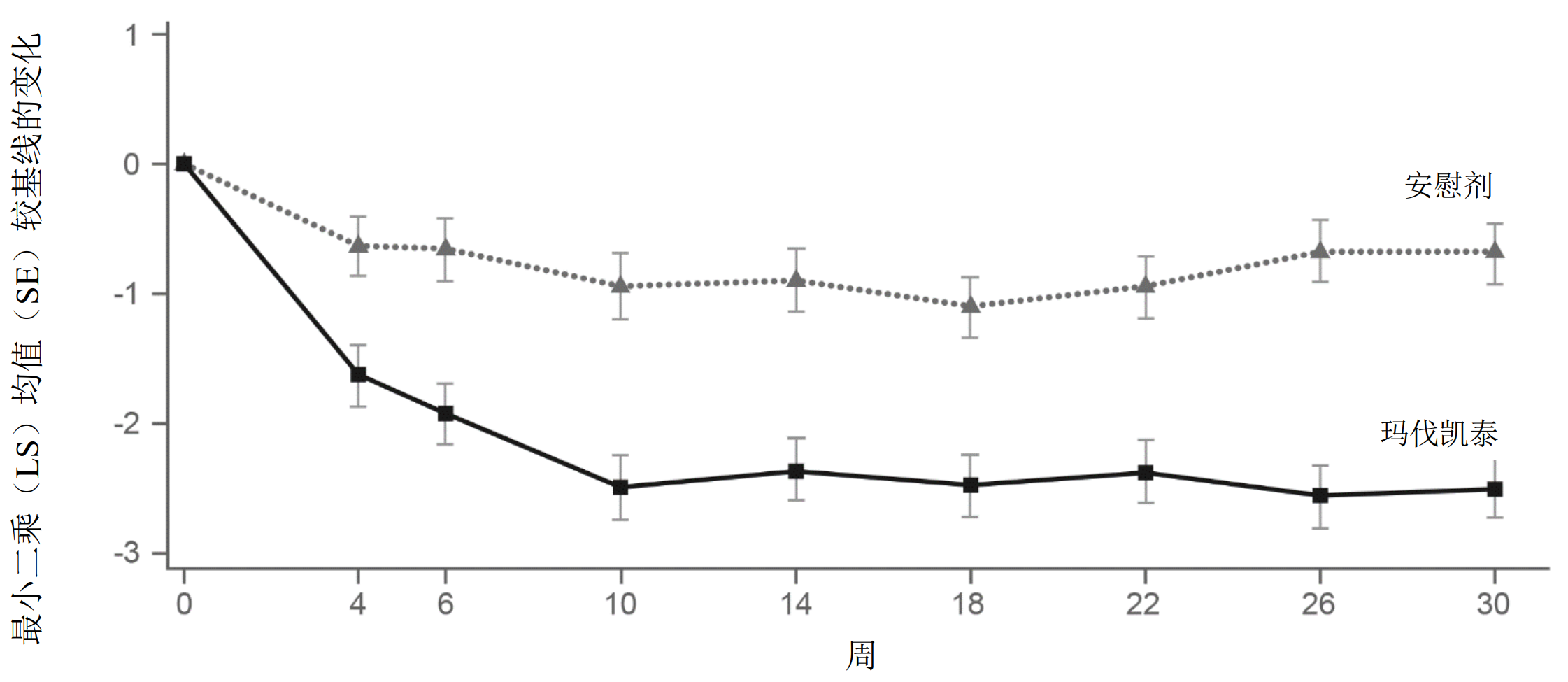
| HCMSQ SoB‡ | n = 108 5(3) | n = 109 5(3) | -3(3) | -1(2) | -2(-2,-1) p<0.0001 |
玛伐凯泰 n(%)n = 56 | 安慰剂 n(%)n = 56 | 治疗差异 (95% CI) | p 值 | |
|---|---|---|---|---|
| 主要有效性复合终点 | 10(18) | 43(77) | 59%(44%,74%) | <0.0001 |
| 患者决定进行 SRT | 2(3.6) | 2(3.6) | ||
| 根据指南标准符合 SRT 指征* | 8(14) | 39(70) | ||
| SRT 状态不可评价(插补为符合指南指征) | 0 | 2(3.6) |
玛伐凯泰 n = 56 | 安慰剂 n = 56 | 差异(95% CI) | p 值 | |
|---|---|---|---|---|
| 运动后 LVOT 压差(mmHg),平均值(SD) | -39 (37) | -2 (29) | -38 (-49,-28) | <0.0001 |
| NYHA 分级改善 ≥ 1 级的患者例数(%) | 35 (63%) | 12 (21%) | 41% (25%,58%) | <0.0001 |
| KCCQ-23 CSS†,平均值(SD) | 10 (16) | 2 (12) | 9 (5,14) | <0.0001 |
| KCCQ-23 TSS,平均值(SD) | 10 (16) | 2 (14) | 10 (5,15) | |
| KCCQ-23 PL,平均值(SD) | 10(19) | 2(17) | 10(5,16) |
| 次要终点 | 玛伐凯泰组(n = 54) | 安慰剂组(n = 27) | 差异(95% CI)a |
|---|---|---|---|
| 第 30 周静息 LVOT 峰值压差(mmHg)较基线的变化,LSM(SE) | -49.04 (4.64) | 5.95 (6.31) | -54.99 (-69.13 至-40.86) |
| 第 30 周时 Valsalva LVOT 峰值压差<30 mmHg 的患者比例,例数(%) | 26 (48.1) | 1 (3.7) | 40.9% (24.4% 至 57.5%) |
| 第 30 周时 Valsalva LVOT 峰值压差<50 mmHg 的患者比例,例数(%) | 32 (59.3) | 2 (7.4) | 46.9%(29.6% 至 64.2%) |
| 第 30 周 NYHA 功能分级较基线改善 ≥ 1 级的患者比例,例数(%) | 32 (59.3) | 4 (14.8) | 39.0%(19.89-58.12%) |
| 第 30 周 KCCQ-23CSS 较基线的变化,LSM(SE) | 4.99 (2.06) | -5.25 (2.75) | 10.24 (4.35 至 16.13) |
| 第 30 周 NT-proBNP 较基线的变化,ng/L,GMR(%CV) | 0.18 | 0.93 | 0.18 (0.13 至 0.24)b |
| 第 30 周心肌肌钙蛋白较基线的变化,ng/L,GMR(%CV) | 0.42 | 1.24 | 0.34 (0.27 至 0.42)b |
| 通过 CMR 成像评价的第 30 周 LVMI 较基线的变化,g/m2,平均值(SD)c | -26.37 | 4.43 | -30.80 (-41.55 至-20.05) |
网页版仅展示部分,【药物相互作用、不良反应、儿童用药等】使用微信扫一扫,在用药助手 App 看