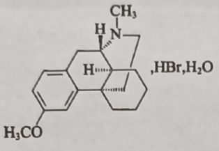
Dextromethorphan Hydrobromide Tablets
请仔细阅读说明书并在医生的指导下使用
核准日期:2022年4月23日|修改日期:2022年8月25日
用于干咳,包括上呼吸...登录
口服。成人:一次 1...登录
1. 用药 7 天,...登录
网页版仅展示部分,【药物相互作用、不良反应、儿童用药等】使用微信扫一扫,在用药助手 App 看