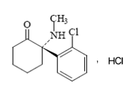
Esketamine Hydrochloride Nasal Spray
请仔细阅读说明书并在医生的指导下使用
核准日期:2023年4月17日|修改日期:2024年1月9日
本品与口服抗抑郁药联...登录
开始治疗前和治疗期间...登录
本品仅限在医疗机构内...登录
网页版仅展示部分,【药物相互作用、不良反应、儿童用药等】使用微信扫一扫,在用药助手 App 看