

Empagliflozin Tablets
请仔细阅读说明书并在医生的指导下使用
核准日期:2017年11月7日|修改日期:2024年5月28日
1. 2 型糖尿病(...登录
1. 开始使用本品前...登录
| 不良反应 | 患者例数(%) | ||
安慰剂(%) N = 995 | 恩格列净 10 mg(%) N = 999 | 恩格列净 25 mg(%) N = 977 | |
| 尿路感染a | 7.6 | 9.3 | 7.6 |
| 女性生殖器真菌感染b | 1.5 | 5.4 | 6.4 |
| 上呼吸道感染 | 3.8 | 3.1 | 4.0 |
| 排尿增加c | 1.0 | 3.4 | 3.2 |
| 血脂异常 | 3.4 | 3.9 | 2.9 |
| 关节痛 | 2.2 | 2.4 | 2.3 |
| 男性生殖器真菌感染d | 0.4 | 3.1 | 1.6 |
| 恶心 | 1.4 | 2.3 | 1.1 |
| 单药治疗(24 周) | 安慰剂(n = 229) | 恩格列净 10 mg(n = 224) | 恩格列净 25 mg(n = 223) |
| 全部(%) | 0.4 | 0.4 | 0.4 |
| 重度(%) | 0 | 0 | 0 |
| 与二甲双胍联合给药(24 周) | 安慰剂 + 二甲双胍(n = 206) | 恩格列净 10 mg + 二甲双胍(n = 217) | 恩格列净 25 mg + 二甲双胍(n = 214) |
| 全部(%) | 0.5 | 1.8 | 1.4 |
| 重度(%) | 0 | 0 | 0 |
| 与二甲双胍 + 磺脲类药物联合给药(24 周) | 安慰剂(n = 225) | 恩格列净 10 mg + 二甲双胍 + 磺脲类药物(n = 224) | 恩格列净 25 mg + 二甲双胍 + 磺脲类药物(n = 217) |
| 全部(%) | 8.4 | 16.1 | 11.5 |
| 重度(%) | 0 | 0 | 0 |
| 与吡格列酮 + /-二甲双胍联合给药(24 周) | 安慰剂(n = 165) | 恩格列净 10 mg + 吡格列酮 + /-二甲双胍(n = 165) | 恩格列净 25 mg + 吡格列酮 + /-二甲双胍(n = 168) |
| 全部(%) | 1.8 | 1.2 | 2.4 |
| 重度(%) | 0 | 0 | 0 |
| 与基础胰岛素 + /-二甲双胍联合给药(18 周d) | 安慰剂 (n = 170) | 恩格列净 10 mg (n = 169) | 恩格列净 25 mg (n = 155) |
| 全部(%) | 20.6 | 19.5 | 28.4 |
| 重度(%) | 0 | 0 | 1.3 |
| 与 MDI 胰岛素 + /-二甲双胍联合给药(18 周d) | 安慰剂(n = 188) | 恩格列净 10 mg(n = 186) | 恩格列净 25 mg(n = 189) |
| 全部(%) | 37.2 | 39.8 | 41.3 |
| 重度(%) | 0.5 | 0.5 | 0.5 |
酮症酸中毒在接受钠-...登录
恩格列净 10 mg N = 224 | 恩格列净 25 mg N = 224 | 安慰剂 N = 228 | |
| HbA1c(%)a | |||
| 基线(平均值) | 7.9 | 7.9 | 7.9 |
| 较基线变化(校正后平均值) | -0.7 | -0.8 | 0.1 |
| 与安慰剂的差异(校正后平均值) (97.5%CI) | -0.7b(-0.9,-0.6) | -0.9b(-1.0,-0.7) | -- |
| 达到 HbA1c<7% 的患者数[n(%)] | 72(35%) | 88(44%) | 25(12%) |
| FPG(mg/dL)c | |||
| 基线(平均值) | 153 | 153 | 155 |
| 较基线变化(校正后平均值) | -19 | -25 | 12 |
| 与安慰剂的差异(校正后平均值) (95% CI) | -31(-37,-26) | -36(-42,-31) | -- |
| 体重 | |||
| 基线(平均值)以 kg 为单位 | 78 | 78 | 78 |
| 较基线变化 %(校正后平均值) | -2.8 | -3.2 | -0.4 |
| 与安慰剂的差异(校正后平均值) (95% CI) | -2.5b(-3.1,-1.9) | -2.8b(-3.4,-2.2) | -- |
恩格列净 10 mg + 二甲双胍 N = 217 | 恩格列净 25 mg + 二甲双胍 N = 213 | 安慰剂 + 二甲双胍 N = 207 | |
| HbA1c(%)a | |||
| 基线(平均值) | 7.9 | 7.9 | 7.9 |
| 较基线变化(校正后平均值) | -0.7 | -0.8 | -0.1 |
| 与安慰剂 + 二甲双胍的差异(校正后平均值)(95% CI) | -0.6b(-0.7,-0.4) | -0.6b(-0.8,-0.5) | -- |
| 达到 HbA1c<7% 的患者数[n(%)] | 75(38%) | 74(39%) | 23(13%) |
| FPG(mg/dL)c | |||
| 基线(平均值) | 155 | 149 | 156 |
| 较基线变化(校正后平均值) | -20 | -22 | 6 |
| 与安慰剂 + 二甲双胍的差异(校正后平均值) | -26 | -29 | -- |
| 体重 | |||
| 基线平均值,以 kg 为单位 | 82 | 82 | 80 |
| 较基线变化 %(校正后平均值) | -2.5 | -2.9 | -0.5 |
| 与安慰剂的差异(校正后平均值)(95% CI) | -2.0b(-2.6,-1.4) | -2.5b(-3.1,-1.9) | -- |
恩格列净 10 mg + 二甲双胍 + SU N = 225 | 恩格列净 25 mg + 二甲双胍 + SU N = 216 | 安慰剂 + 二甲双胍 + SU N = 225 | |
| HbA1c(%)a | |||
| 基线(平均值) | 8.1 | 8.1 | 8.2 |
| 较基线变化(校正后平均值) | -0.8 | -0.8 | -0.2 |
| 与安慰剂的差异(校正后平均值) (95% CI) | -0.6b(-0.8,-0.5) | -0.6b(-0.7,-0.4) | -- |
| 达到 HbA1c<7% 的患者数[n(%)] | 55(26%) | 65(32%) | 20(9%) |
| FPG(mg/dL)c | |||
| 基线(平均值) | 151 | 156 | 152 |
| 较基线变化(校正后平均值) | -23 | -23 | 6 |
| 与安慰剂的差异(校正后平均值) | -29 | -29 | -- |
| 体重 | |||
| 基线平均值,以 kg 为单位 | 77 | 78 | 76 |
| 较基线变化 %(校正后平均值) | -2.9 | -3.2 | -0.5 |
| 与安慰剂的差异(校正后平均值) (95% CI) | -2.4b(-3.0,-1.8) | -2.7b(-3.3,-2.1) | -- |
18 周 (没有调整胰岛素) | 78 周 (18 周后调整的胰岛素剂量) | |||||
恩格列净 10 mg + 胰岛素 N = 169 | 恩格列净 25 mg + 胰岛素 N = 155 | 安慰剂 + 胰岛素 N = 170 | 恩格列净 10 mg + 胰岛素 N = 169 | 恩格列净 25 mg + 胰岛素 N = 155 | 安慰剂 + 胰岛素 N = 170 | |
| HbA1c(%)a | ||||||
| 基线(平均值) | 8.3 | 8.3 | 8.2 | 8.3 | 8.3 | 8.2 |
| 较基线变化(校正后平均值) | -0.6 | -0.7 | 0 | -0.4 | -0.6 | 0.1 |
| 与安慰剂相比的差异(校正后平均值)(97.5%CI) | -0.6b (-0.8,-0.4) | -0.7b (-0.9,-0.5) | -- | -0.5b (-0.7,-0.3) | -0.7b (-0.9,-0.5) | -- |
| 达到 HbA1c<7% 的患者数(%) | 18.0 | 19.5 | 5.5 | 12.0 | 17.5 | 6.7 |
| FPG(mg/dL) | ||||||
| 基线(平均值) | 138 | 146 | 142 | 138 | 146 | 142 |
| 较基线变化(校正后平均值,SE) | -17.9(3.2) | -19.1(3.3) | 10.4(3.1) | -10.1(3.2) | -15.2(3.4) | 2.8(3.2) |
| 与安慰剂的差异(校正后平均值)(95% CI) | -28.2b (-37.0,-19.5) | -29.5b (-38.4,-20.6) | -- | -12.9c (-21.9,3.9) | -17.9b (-27.0,-8.8) | -- |
| 体重 | ||||||
| 基线平均值,以 kg 为单位 | 92 | 95 | 90 | 92 | 95 | 90 |
| 较基线变化 %(校正后平均值) | -1.8 | -1.4 | -0.1 | -2.4 | -2.4 | 0.7 |
| 与安慰剂的差异(校正后平均值)(95% CI) | -1.7d (-3.0,-0.5) | -1.3e (-2.5,-0.0) | -- | -3.0b (-4.4,-1.7) | -3.0b (-4.4,-1.6) | -- |
恩格列净 10 mg + 胰岛素 + /-二甲双胍 N = 186 | 恩格列净 25 mg + 胰岛素 + /-二甲双胍 N = 189 | 安慰剂 + 胰岛素 + /-二甲双胍 N = 188 | |
| HbA1c(%)a | |||
| 基线(平均值) | 8.4 | 8.3 | 8.3 |
| 较基线变化(校正后平均值) | -0.9 | -1.0 | -0.5 |
| 与安慰剂的差异(校正后平均值)(95% CI) | -0.4b(-0.6,-0.3) | -0.5b(-0.7,-0.4) | -- |
轻度和中度肾损伤b | |
恩格列净 25 mg | |
| HbA1c | |
| 患者例数 | n = 284 |
| 与安慰剂比较(校正后平均值)(95% CI) | -0.5a(-0.6,-0.4) |
| eGFR 范围 | 第 24 周时 HbA1c 的最小二乘均数变化 | |
恩格列净 25 mg 组 | 安慰剂组 | |
| 60 mL/min/1.73m²至 < 90 mL/min/1.73m² | -0.6% | 0.1% |
| 45 mL/min/1.73m²至 < 60 mL/min/1.73m² | -0.5% | -0.1% |
| 30 mL/min/1.73m²至 < 45 mL/min/1.73m² | -0.2% | 0.2% |
安慰剂 N = 2333 | 恩格列净 N = 4687 | 与安慰剂相比的风险比 (95% CI) | |
| 心血管性死亡、非致死性心肌梗死、非致死性卒中复合(至首次发生时间)b | 282(12.1%) | 490(10.5%) | 0.86(0.74,0.99) |
| 非致死性心肌梗死c | 121(5.2%) | 213(4.5%) | 0.87(0.70,1.09) |
| 非致死性卒中c | 60(2.6%) | 150(3.2%) | 1.24(0.92,1.67) |
| 心血管性死亡c | 137(5.9%) | 172(3.7%) | 0.62(0.49,0.77) |
安慰剂 N = 1867 | 恩格列净 10 mg N = 1863 | 与安慰剂相比的风险比 (95% CI) | p 值 | |
患者人数(%) | ||||
| 心血管死亡或因心力衰竭住院复合终点(至首起事件的时间) | 462(24.7%) | 361(19.4%) | 0.75(0.65-0.86) | <0.0001 |
| 心血管死亡a,b | 202(10.8%) | 187(10.0%) | 0.92(0.75,1.12) | 0.4113 |
| 首次因心力衰竭住院a | 342(18.3%) | 246(13.2%) | 0.69(0.59,0.81) | <0.0001 |
事件数量 | ||||
| 因心力衰竭住院 (首次和复发)c | 553 | 388 | 0.70(0.58,0.85) | 0.0003 |
安慰剂 N = 75 | 恩格列净 10 mg N = 59 | 与安慰剂相比的风险比 (95% CI) | |
患者数量(%) | |||
| 心血管死亡或因心力衰竭住院复合终点(至首起事件的时间) | 30(40.0%) | 16(27.1%) | 0.61(0.33,1.16) |
事件数量 | |||
| 因心力衰竭住院 (首次和复发)a | 59 | 12 | 0.37(0.14,0.95) |
安慰剂 N = 2991 | 欧唐静 10 mg N = 2997 | 与安慰剂相比的风险比 (95% CI) | P 值 | |
患者例数(%) | ||||
| 主要复合终点为心血管死亡或因心力衰竭住院(至首起事件的时间) | 511(17.1%) | 415(13.8%) | 0.79(0.69,0.90) | 0.0003 |
| 心血管死亡a,b | 244(8.2%) | 219(7.3%) | 0.91(0.76,1.09) | - |
| 因心力衰竭住院a | 352(11.8%) | 259(8.6%) | 0.71(0.60,0.83) | - |
事件数量 | ||||
| 因心力衰竭住院 (首次和复发)c | 541 | 407 | 0.73(0.61,0.88) | 0.0009 |
安慰剂 N = 73 | 恩格列净 10 mg N = 64 | 与安慰剂相比的风险比 (95% CI) | |
患者数量(%) | |||
| 主要复合终点为心血管死亡或首次因心力衰竭住院(至首起事件的时间) | 25(34.2%) | 16(25.0%) | 0.61(0.32,1.14) |
| 心血管死亡a,b | 7(9.6%) | 1(1.6%) | NC¹ |
| 因心力衰竭住院a | 24(32.9%) | 15(23.4%) | 0.59(0.31,1.14) |
事件数量 | |||
| 因心力衰竭住院c (首次和复发) | 51 | 30 | NC² |
安慰剂 N = 3305 | 恩格列净 10 mg N = 3304 | 与安慰剂相比的风险比 (95% CI) | P 值 | |
| 患者例数(%) | ||||
| eGFR 自随机化持续下降 ≥ 40%、eGFR 持续 < 10 mL/min/1.73m²,ESKDa、或肾死亡或 CV 死亡的复合终点(至首次发生时间) | 558(16.9) | 432(13.1) | 0.72(0.64,0.82) | <0.0001 |
| eGFR 自随机化持续下降 ≥ 40% | 474(14.3) | 359(10.9) | 0.70(0.61,0.81) | |
| ESKDa或持续 eGFR<10 mL/min/1.73m² | 221(6.7) | 157(4.8) | 0.69(0.56,0.84) | |
| 肾死亡b | 4(0.1) | 4(0.1) | ||
| CV 死亡 | 69(2.1) | 59(1.8) | 0.84(0.60,1.19) | |
| 事件数量 | ||||
| 首次和复发全因住院 | 1895 | 1611 | 0.86(0.78,0.95) | 0.0025 |
| 患者例数(%) | ||||
| HHF 或 CV 死亡(至首次发生时间) | 152(4.6) | 131(4.0) | 0.84(0.67,1.07) | 0.1530 |
| 首次 HHF | 107(3.2) | 88(2.7) | 0.80(0.60,1.06) | |
| 全因死亡 | 167(5.1) | 148(4.5) | 0.87(0.70,1.08) | 0.2137 |
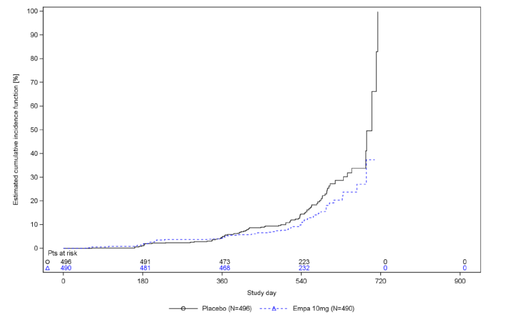
安慰剂 N = 496 | 恩格列净 10 mg N = 490 | 与安慰剂相比的风险比 (95% CI) | P 值 | |
| 患者例数(%)/事件数量 | ||||
| 主要终点:肾脏疾病进展或裁定的 CV 死亡 | 91(18.3) | 63(12.9) | 0.73(0.52,1.00) | 0.0532 |
网页版仅展示部分,【药物相互作用、不良反应、儿童用药等】使用微信扫一扫,在用药助手 App 看