手机应用
丁香医生
新浪微博
药品汇
登录
|
注册
丁香园
药品名称
|
适应症
|
用药禁忌
高级搜索
注射用环磷腺苷葡胺
只有认证医师才能评分,请
登录
或
认证
复制网址
新浪微博
药品名称:
通用名称:注射用环磷腺苷葡胺
英文名称:Meglumine Adenosine Cyclophosphate for Injection
商品名称:万扶
成份:
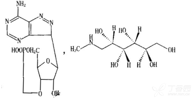
本品活性成份为环磷腺苷葡胺,系环磷腺苷与葡甲胺(1:1) 的盐。
化学结构式:
分子式:C
10
H
12
N
5
O
6
P•C
7
H
17
NO
5
分子量:524.42
适应症:
用于心力衰竭、
心肌炎
、
病窦综合征
、
冠心病
及
心肌病
,可用于心律失常的辅助治疗。
用法用量:
静脉滴注:加入200—500ml 5%葡萄糖注射液溶解后静脉滴注,一日一次,一次60( 2支)~180mg( 6支); 静脉推注:加入20—40ml 25%或10%葡萄糖注射液溶解后缓慢静脉推注,一日...
该信息登录才能查看,请
登录
不良反应:
偶见心悸、心慌、头晕等症状。
禁忌:
对药物中任一成份过敏者。
本品禁与氨茶碱同时静脉给药。
注意事项:
滴注不应太快,用量在150mg 以上应在90分钟以上滴完。
如遇心悸、心慌,应停止用药,停药后症状自行消失。
药物相互作用:
本品禁与氨茶碱同时静脉给药。
批准文号:
国药准字H20040625
生产企业:
湖南五洲通药业有限责任公司
药物分类:
其它心脏病用药
国家医保:
注射用环磷腺苷葡胺已纳入《2025年中国国家医保药品目录》(根据国家医保规定,2026年全年医保用药规范需参考该目录),纳入类别为:乙类。
国家基药:
未纳入2018年中国国家基本药物目录。
药品分类:
心血管系统>心脏病治疗药>其它治疗心脏病药>其它心脏病用药
药品资讯
警惕注射用单磷酸阿糖腺苷不良...
CFDA 提示关注注射用单磷酸...
食药监:抗病毒药注射用单磷酸阿...
药品不良反应:警惕注射用单磷酸...
万新华
同类型药品
唯嘉能(注射用磷酸肌酸钠)
环磷腺苷葡胺注射液(徐州莱恩)
扶信(注射用环磷腺苷葡胺)
艾诺吉(注射用三磷酸腺苷二钠氯...
欣诺邦盛(丹参酮IIA磺酸钠注...
开地米丁(注射用心肌肽)
澳康欣(注射用三磷酸胞苷二钠)
丹参酮IIA磺酸钠注射液(诺新...
更多药品